找回密码 注册 QQ登录
开思网工业级高精度在线3D打印服务

B02 塑料射出成型产品之双折射预测

2008-9-21 18:04| 查看: 46689| 评论: 0|来自: 产学联盟

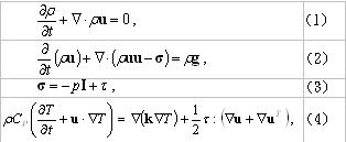
摘要: 作者:张元榕1、杨文贤1、游朝凯1、张荣语21 科盛科技股份有限公司2 国立清华大学化学工程学系摘要:塑料光学组件已经被广泛的应用于各种工业界应用,如镜头、灯罩、光盘、光导板等。然而,透明性塑料射出组件的双折射 ...
图4 (a)流动阶段之剪切率分布, (b)流动残余应力, (c)最大主轴流动应力, (d)流动导致之双折射
 



 

 

 
1234567

赞一下!

最新视频

3D打印手板模型快速制作服务,在线报价下单!

【CAE模具高校产学联盟官方网站】产学合作技术交流整合平台,拓宽学生就业方向的道路,促进产学合作技术交流,加快CAE模具成型技术的快速转移。
Copyright © 2002-2025 www.iCAx.org ( 粤ICP备2025491344号-1 )

返回顶部