找回密码 注册 QQ登录
开思网工业级高精度在线3D打印服务

B12 整合场协同理论和模流分析探讨含玻纤塑料于指叉状波浪流道之流动行为

2011-12-26 19:14| 查看: 47565| 评论: 0|来自: 产学联盟

摘要: 但随着质子交换膜燃料电池技术的稳定进步发展,燃料电池的技术获得汽车、能源公司与机车公司的支持。因为材料、制程技术的改进突破,使得燃料电池的性能提升、材料成本下降外,过去燃料电池堆技术不断突破、进步。燃 ...

三、基本理论
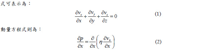
3.1 统御方程式
以射出阶段而言,在射出阶段,不考虑高分子流体的可压缩性,因此对不可压缩流体,连续方程



四、模拟分析

首先针对原始设计进行模拟。原始设计为模拟中使用复合材料为PA6\TECHNYL C217 \Rhodia(未含玻纤)与PA6\TECHNYL C218 V40\Rhodia(含40%玻纤),尺寸为长度:100 mm、宽度:100 mm、厚
度:3.6 mm、沟槽:1.2 mm。如图1-2.


图1 燃料电池双极板尺寸图


图 2 指叉状波浪沟槽双极板

材料机械性质如下表1 和2
表1. PA6\TECHNYLC217 \Rhodia (未含玻纤)


表2. PA6\TECHNYLC218 V40\Rhodia (含40%玻纤)

2

赞一下!

刚表态过的朋友 (2 人)

最新视频

3D打印手板模型快速制作服务,在线报价下单!

【CAE模具高校产学联盟官方网站】产学合作技术交流整合平台,拓宽学生就业方向的道路,促进产学合作技术交流,加快CAE模具成型技术的快速转移。
Copyright © 2002-2025 www.iCAx.org ( 粤ICP备2025491344号-1 )

返回顶部