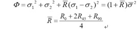
1 引言 利用金属塑性变形的特点,通过一定方式对板料施加压力,从而获得满足所需形状的各种零件,这就是钣金成形技术。它广泛应用于飞机部件的制造过程中(约占全部飞机零件的40%~50%)。 拉伸成形是飞机蒙皮的主要成形方式,通常依靠拉形机的运动来实现工作台顶升和板料两端夹钳的拉伸包覆运动使板料贴模,获得所需的蒙皮零件形状。 随着计算机技术的提高以及有限元法在塑性成形中的成功应用,塑性成形过程中的数值模拟技术得到了迅速发展。这就为确定工序方案、研究成形过程中的不合理现象提供了可靠的理论依据,并在减少试模时间、缩短产品开发周期、降低产品开发费用等方面发挥着越来越大的作用。而飞机钣金件所具有的品种多、产量小的特点,也是应用数值模拟技术的最佳领域。 本文在介绍有限元数值模拟技术的基本理论的基础上,应用国际上领先的CAE软件Abaqus对飞机蒙皮拉伸成形过程进行了实例有限元仿真,并在此基础上针对蒙皮拉伸的加载轨迹进行了初步研究,为飞机蒙皮拉伸工艺的设计与分析提供了新的思路。 2 数值模拟理论 从数学的角度看,钣金成形是一个多重非线性问题,主要包括几何非线性(大位移、大转动或大变形)、材料非线性(弹、塑性)、边界非线性(摩擦)三个方面。有限元法的基本思路就是将连续的空间求解区域离散为一组组单元,然后将这些单元按照一定的方式重新组合在一起,从而近似模拟整个求解域的变化情况。 2.1 数值积分方法 常用的数值积分方法有两种:动态-显式和静态-隐式。在动态-显式算法中,优点是对离散方程的时间积分不需要求解任何方程,因此容易编程而且稳健性好;缺点是条件稳定性差,如果时间步长超过了一个临界值,计算结果将会增至无穷大。目前动态-显式算法中应用最广泛的是中心差分法。静态-隐式算法考虑一个普遍的时间积分器,因此稳定性好,但是却存在不收敛的可能。在数值模拟过程中,成形过程一般采用动态-显式方法,而回弹计算则采用静态-隐式方法,这样就能够最大限度地发挥出这两种算法的效率。 2.2 屈服准则 Von Mises于1913年提出了屈服准则,也叫做J2准则,常用于金属成形过程,写为: 其中,Φ为屈服函数,Φ1σ、2σ、3σ为主应力,Sij和σS分别是应力偏张量和屈服应力。 其中,σij是正交对称应力轴表示的应力,F、G、H、L、M和N分别表示塑性各向异性参数。 在板料成形模拟过程中,假设只有正交各向异性存在于板料中,通常各向异性定义为宽度应变和厚度应变比。基于这个假设,可以将前述的屈服准则写为: 其中,R0、R45、R90分别为对应于冷轧方向0、45、90度的各向异性参数。 2.3 硬化准则 其中,σ为等效应力,K为材料常数,ε为等效应变,n为加工硬化系数。 2.4 壳单元 在工程中,当壳体的厚度与中面的曲率之比小于1/20时,即认为是薄板壳。物理上的可靠性是选择壳单元的基本要求,退化壳单元是最可靠的一种单元,其表达公式是直接将连续体力学中的三维方程离散化,采用有独立转角和位移自由度的参数,将三维应力应变状态简化,以适应壳的特性,从而避免了复杂的一般壳理论,通常用来求解薄板和中厚板的问题。 |
QQ 咨询|手机版|联系我们|iCAx开思网
( 粤ICP备2025491344号-1 ) 
GMT+8, 2026-3-31 23:41 , Processed in 0.043770 second(s), 10 queries , Gzip On, Redis On.
Powered by Discuz! X3.3
© 2002-2025 www.iCAx.org