确定关联装配件 、示例
确定关联装配件
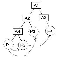
在许多场合中,可能难以确定哪一个装配件是正确的关联装配件。为了方便更新,当某个装配件中的所有零件间文档都无法更新时,会显示一个Update(更新)对话框。Update(更新)对话框说明了成功更新所有零件间关系所需执行的操作。 在保存装配件时,有三种情况可能导致无法采用新计算机技术更新零件间的元素。 • 零件间子文档与控制零件间关系的装配件脱离关联。 • 子文档或关联装配件已被写保护。 • 其他未知原因。这通常是因为早期版本文件中存在的某个问题(版本12或更早版本)。 例如在V12中,装配件中的子零件已被替换并脱离关联。为了解决这种特殊问题,可打开该装配件并使用Inter-Part Manager(零件间管理器)断开一些无法解算的链接。 如果在打开装配件时出现以上三种情况中的任何一种,将显示Update(更新)对话框。如果没有显示Update(更新)对话框,装配件和该装配件中的所有零件间元素都已成功更新。 装配件中的零件间关系逐个更新。这表示在某些情况下,只更新当前装配件中的部分零件间子文档。 如果显示Update(更新)对话框,表示当前装配件中的某些子文档无法更新。出现这种情况时,仍应保存当前装配件。Update(更新)对话框将显示消息,说明解决该问题所需执行的操作。 任何未更新的子文档和相关装配件都需要单独修正。这时通常需要打开正确的关联装配件并拥有子文档的写入权限,然后保存该装配件。 注: 在继续执行装配件与零件间元素的其他设计工作之前,务必更新所有零件间关系,这一点非常重要。任何未更新的零件间关系都无法正常工作,这可能导致新设计工作中零件定位与几何体出错。 关联装配件所在的装配件层次可能高于显示消息所在的已打开装配件,或者可能是与已打开装配件无关的其他装配件(除了两个装配件中都存在独立元素之外)。 如果某个元素中的单个零件间关系无法更新,则该元素中的其他任何零件间关系都不会更新。在更新子文档之前,子文档必须与所有包含的零件间关系关联。这不会导致装配件中其他子文档无法更新。 示例 以下示例均假设拥有对所有相关文档的写入权限。考虑下图所示的装配件。在尝试更新时,关联装配件是子代与父代通用的最底层装配件。(A = 装配件,P = 零件,箭头从子文档指向父文档)

如果打开A4,所有零件间文档都不能更新。在本例中,对话框中显示两条消息:
• 文件.P1 / 原因。 关联装配件为A2
• 文件.P2 / 原因。 关联装配件为A1
如果打开A2,将更新P1,但P2会显示一条消息:
• 文件:P2 / 原因。关联装配件为A1
如果打开A1,则更新所有零件间文档,因为这是所有子文档与父文档通用的最底层装配件。
|